جستجو کنید...
هشتگهای محبوب:
سیم و کابل از مهمترین تجهیزات الکتریکی به حساب میآیند و در همه جا کاربرد دارند. به هر گوشهای از محل کار، منزل و مکانهای مختلف که نگاه کنید بدون شک از سیم و کابلهای مختلفی را خواهید دید که به منظور تأمین جریان برق نصب میشوند. اصلیترین وظیفه سیم و کابل هدایت و انتقال جریان الکتریکی از یک نقطه به نقطهای دیگر است. با توجه به ویژگیهای انرژی الکتریکی و همچنین بر حسب نیاز از مدلهای متنوعی از سیم و کابل به منظور انتقال جریان استفاده میشود. به همین دلیل یک سری نکات و ویژگیها وجود دارند که بر اساس آنها میتوان سیم و کابل مناسب را انتخاب کرد. در این مقاله از آرتا الکتریک به بررسی تمامی پارامترهای مهم در خرید انواع سیم و کابل میپردازیم.
معمولا سیم و کابل از نظر بسیاری از افراد یکسان هستند در صورتی که اینطور نیست و سیم و کابل تفاوتهایی با هم دارند. سیم دارای یک هادی الکتریکی منفرد است که توسط یک روکش عایق پوشانده میشود، در مقابل کابل گروه یا دستهای تشکیل شده از چند هادی الکتریکی است که در داخل یک پوشش مشترک قرار گرفتهاند. بسته به نوع کاربرد ممکن است کابلها از دو رشته سیم تا تعدادهای 60 و حتی بیشتر تشکیل شوند. هر کدام از سیمها در داخل کابل یک لایه عایق PVC رنگی مخصوص به خود دارند که به صورت گروهی در یک غلاف بیرونی قرار گرفته و یک کابل واحد را تشکیل میدهند.
در نهایت هم سیم و هم کابل به منظور انتقال جریان الکتریکی بین دو نقطه مورد استفاده قرار میگیرند. معمولا از فلز آلومینیوم یا مس برای ساخت هادی آنها استفاده میشود. سیم و کابل عموماً یا به صورت برهنه یا به صورت عایق هستند که در یک لایه از PVC قرار میگیرند. سیم و کابلهایی که دارای غلاف PVC هستند در رنگهای مختلفی تولید میشوند تا با استفاده از این رنگها بتوان نوع سیم از نظر خنثی بودن، سیم ارت، سیم فاز، سیم نول و… را تشخیص داد.
در ساخت سیم و کابل به طور معمول از مس به عنوان هادی استفاده میشود زیرا در برابر خوردگی مقاومتر است و عملکرد بهتری نسبت به آلومینیوم دارد. فلز آلومینیوم سبکتر و از قیمت ارزانتری برخوردار است.
در فرایند انتخاب سیم و کابل مناسب یک سری عوامل و فاکتورها وجود دارد که باید مورد توجه قرار بگیرند و بر اساس آنها و بر حسب نیاز سیم و کابل مناسب را انتخاب و خریداری کرد. عوامل مؤثر در انتخاب سیم و کابل مناسب عبارتند از:
همه فاکتورهای بالا به یکدیگر مرتبط هستند و در انتخاب سیم و کابل با یکدیگر را بطه مستقیم دارند. مثلا جریان مورد نیاز مصرف کننده، میزان تحمل کابل در برابر عبور جریان و همچنین افت ولتاژ مجاز عاملهایی برای تعیین سطح مقطع سیم و کابل هستند که باید مورد توجه قرار بگیرند. در ادامه هر یک از پارامترهای موثر در انتخاب سیم و کابل مناسب را بررسی کردهایم.
زمانی که جریان از سیم و کابل عبور میکند، درجه حرارت بالا میرود و حاصل آن خرابی عایق سیم و کابل است که به مرور اتفاق میافتد. به همین دلیل به منظور محافظت بهتر از عایق سیم و کابل ضرورت دارد که درجه حرارت تولید شده در آن در اثر عبور جریان در حالت تعادل قرار بگیرد و از حداکثر حرارت مجاز کمتر باشد. لازمه دستیابی به این شرایط، انتقال حرارت تولید شده به محیط اطراف است.
جریان یا ظرفیت مجاز کابلها باید به نحوی تعیین شود که در هر نقطه از کابل، حرارت تولید شده در هادیهای مختلف امکان انتقال به محیط اطراف را داشته باشد. در واقع بر اساس استاندارد، درجه حرارت عایق در سطح هادی در کابلهای PVC نباید از 70 درجه سانتیگراد بیشتر شود.
شدت جریان مجاز کابل و سیم بر اساس سطح مقطع، محل استفاده و شرایط محیط، طول، اندازه هادی، تعداد هادیها و دمای محیط مشخص میشود. با توجه به اینکه عایق کابلها توانایی تحمل درجه حرارت معینی دارند به همین دلیل افزایش درجه حرارت از حد مجاز میتواند منجر به از بین رفتن عایق و کاهش طول عمر کابل شود. برای هر نوع کابل جدول مخصوصی وجود دارد که شدت جریان مجاز برای آن درج میشود. برای اطلاعات کامل درباره جریان مجاز سیم و کابل به جدول جریان مجاز سیم و کابل نیاز دارید. در مقاله “جدول جریان مجاز سیم و کابل (جریان، سطح مقطع و متراژ)” جدول جریان مجاز انواع سیم وکابل را بر اساس پارامترهای مختلف گردآوری کردهایم. میتوانید روی دکمه قرمز رنگ زیر کلیک و آن را مطالعه کنید.
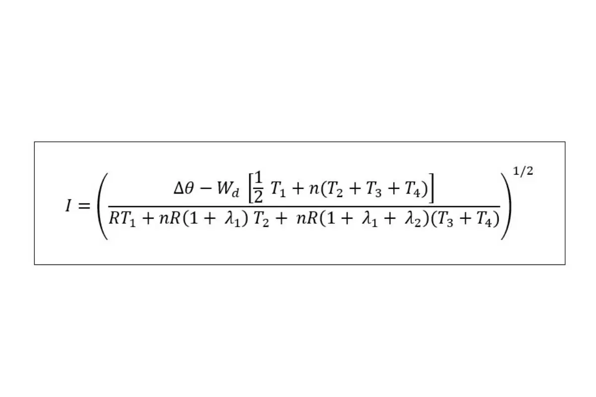
اطلاع از جریان مجاز کابل از طریق فرمول و بر اساس پارامترهای مختلف نیز امکان پذیر است. فرمول محاسبه جریان مجاز کابل تابعی از درجه حرارت محیط، درجه حرارت نهایی، ضریب انتقال حرارت و مشخصات کابل هستند. با توجه به نقش جریان در درجه حرارت تولیدی در سیم و کابل، ظرفیت یا جریان مجاز نیز تابعی از همین عوامل هستند که تعیین میزان دقیق آن مستلزم حل کردن مسئله انتقال حرارت است. بطورکلی جریان مجاز سیم و کابل از طریق فرمول زیر محاسبه میشود:

| مقاومت جریان متناوب در واحد طول رسانا در حداکثر دمای کاری (Ω / m) | R |
| تلفات دی الکتریک در واحد طول برای عایق اطراف هادی (W / m) | Wd |
| مقاومت حرارتی در واحد طول بین یک هادی و غلاف (Km / W) | T1 |
| مقاومت حرارتی در واحد طول بستر بین غلاف و زره (Km / W) | T2 |
| مقاومت حرارتی در واحد طول غلاف خارجی کابل (Km / W) | T3 |
| مقاومت حرارتی در واحد طول بین سطح کابل و محیط اطراف (Km / W) | T4 |
| تعداد هادیهای حامل بار در کابل (رساناهایی با اندازه مساوی و حامل بار یکسان) | n |
| نسبت تلفات غلاف فلزی به کل تلفات در همه هادیهای کابل | λ1 |
| نسبت تلفات غلاف به کل تلفات در همه هادیهای کابل | λ2 |
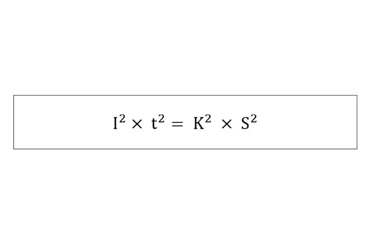
سیم و کابل مناسب، سیم و کابلی است که جریان مجاز آن بیشتر از جریان مصرفی مورد نیاز باشد. پس باید از جریان مصرفی مطلع باشید. با استفاده از روابط زیر میتوان جریان مصرفی در یک شبکه را تعیین کرد. فرمول محاسبه جریان عبوری از سیم عبارتند از:

به منظور تبدیل جریان مصرفی به جریان مجاز کابل یک ضریب توان (pf-Power Factor) وجود دارد که اعداد ثابتی هستند و باید آنها را در فرمول جایگذاری کنید. این ضرایب تصحیح به شرح جدولهایی است که در ادامه آوردهایم.
*حداکثر درجه حرارت هادی 70 درجه سانتی گراد
| درجه حرارت محیط (درجه سانتی گراد) | 15 | 20 | 25 | 30 | 35 | 40 | 45 | 50 | 55 | 60 |
| ضریب تصحیح | 1.05 | 1 | 0.95 | 0.89 | 0.84 | 0.77 | 0.71 | 0.63 | 0.55 | 0.45 |
*حداکثر درجه حرارت هادی 70 درجه سانتی گراد
| درجه حرارت محیط (درجه سانتی گراد) | 15 | 20 | 25 | 30 | 35 | 40 | 45 | 50 | 55 | 60 |
| ضریب تصحیح | 1.17 | .121 | 1.06 | 1 | 0.94 | 0.87 | 0.79 | 0.71 | 0.61 | 0.50 |
*حداکثر درجه حرارت هادی 70 درجه سانتی گراد
| تعداد کابلهای مجاور هم | 1 | 2 | 3 | 4 | 5 | 6 | 8 | 10 |
| ضریب تصحیح | 1 | 0.85 | 0.75 | 0.68 | 0.64 | 0.60 | 0.56 | 0.53 |
| ضریب توان (pf) | ||
| سه فاز (380 ولت) | تک فاز (220 ولت) | ولتاژ شبکه (ولت) |
| 0.031 | 0.108 | 1.5 |
| 0.019 | 0.065 | 2.5 |
| 0.012 | 0.041 | 4 |
| 0.008 | 0.027 | 6 |
| 0.0046 | 0.0162 | 10 |
| 0.0029 | 0.001 | 16 |
| 0.00188 | – | 25 |
| 0.00134 | – | 35 |
| 0.00094 | – | 50 |
| 0.00067 | – | 70 |
| 0.00050 | – | 95 |
| 0.00039 | – | 120 |
| 0.00031 | – | 150 |
| 0.000254 | – | 185 |
| 0.000195 | – | 240 |
| 0.000156 | – | 300 |
| 0.000117 | – | 400 |
| 0.000093 | – | 500 |
یکی دیگر از عوامل مهمی که در خرید سیم و کابل نقش تعیین کنندهای دارد، افت ولتاژ در کابل است. بنابراین یکی از ضروریات طراحی تاسیسات الکتریکی مختلف، محاسبه افت ولتاژ از منبع تغذیه تا محل بار است. افت ولتاژ یکی از مواردی است که میتوان بر روی عملکرد تجهیزات مختلف به شرح زیر اثرات سوء داشته باشد:
بر اساس آنچه که در استاندارد IEC 60364-5-52 وجود دارد، افت ولتاژ از نقطه شروع در تاسیسات الکتریکی تا محل مصرف نباید از 4% ولتاژ نامی بیشتر شود.
(ولتاژ نامی چیست؟ ولتاژی است که کل یا بخشی از یک تاسیسات الکتریکی متناسب کار با آن طراحی شود. از این رو ممکن است که ولتاژ واقعی که تجهیزات در خلال بهرهبرداری با آن کار میکنند با ولتاژ نامی تفاوت داشته باشد.)
البته باید به این نکته توجه کرد که در این استاندارد افت ولتاژ موقت در لحظه راهاندازی موتورها، کشیده شدن جریانهای هجومی، افت ولتاژ ناشی از ولتاژهای گذرا یا بروز اتصالی در سیستم مدنظر قرار نگرفته است.
محاسبه افت ولتاژ بر اساس طول مسیر
افت ولتاژ با طول کابل رابطه عکس دارد و باید بر اساس آن محاسبه و مد نظر قرار بگیرد. نحوه محاسبه افت ولتاژ در کابل بر اساس طول مسیر به شرح زیر است:
افت ولتاژ در کابل مسی = 0.04 * طول * جریان
افت ولتاژ در کابل آلومینیوم = 0.06 * طول * جریان
درصورتیکه لازم بود تا محاسبه درصد افت ولتاژ را محاسبه کنید، باید اعداد مورد نظر را در فرمول زیر قرار دهید.
ΔV = (R × L × I) + (X × L × I)
از دیگر عوامل مهم در انتخاب سیم و کابل مناسب میتوان به حفاظت مدار اشاره کرد که به نوع هادی و نوع روکش عایق بستگی دارد. مس، آلومینیوم، فولاد و برنج متریالهای ساخت هادی سیم و کابل هستند که جریان برق را از خود عبور میدهند. علاوهبر اینکه کیفیت هادی در خرید سیم و کابل اهمیت دارد، انتخاب هادی مناسب با توجه به محل استفاده سیم و کابل را باید مورد بررسی قرار داد.
عایقها روی هادی را میپوشانند تا از اجزای داخلی سیم و کابل در برابر شرایط بیرونی محافظت کنند و از نشت جریان الکتریکی نیز جلوگیری کنند. جنس عایق نیز به ولتاژ کابل، شرایط محیطی و کاربرد آن بستگی دارد. از آنجایی که عایق پی وی سی در مصارف عمومی کاربرد دارد، اغلب افراد فکر میکنند که این نوع تنها عایق کابل برق است. درصورتیکه عایقهای دیگری مانند پلی اتیلن متصل عرضی (XLPE) و نئوپرن وجود دارند که برای کابلهایی با ولتاژها بالا و سیم برقهایی که در شرایط محیطی سخت قرار دارند، استفاده میشود.
پس در نظر بگیرید برای اینکه مطمئن شوید سیم و کابل برق مناسبی را انتخاب کردهاید، به پارامتر حفاظت از مدار (هادی و عایق) توجه کنید. این پارامتر علاوهبر ایمنی، بر طول عمر نیز تاثیر مستقیم دارد.
مدار یا بار اتصال کوتاه از دیگر عواملی مهمی است که در انتخاب سیم و کابل مورد توجه قرار دارند. توانایی مکانیکی یکی از ویژگیهایی است که به صورت پیشفرض برای کابل تعیین میشود؛ میزان توانایی مکانیکی باید با مدار اتصال کوتاه یکسان یا بیشتر از آن باشد. دلیل مساوی یا بیشتر بودن توانایی مکانیکی این است که پس از رخ دادن اتصال کوتاه، کابل بدون برخورداری از فشار مکانیکی بتواند به خوبی کار کند. ابعاد و اندازههای مختلف کابل و سیم یکی از پارامترهایی است که مستقیم بر روی بار اتصال کوتاه اثر دارد.
عواملی که در تعیین جریان اتصال کوتاه کابل و سیم اثر میگذارد، فرمول بار اتصال کوتاه مجاز سیم و کابل را تشکیل میدهند. این عوامل و فرمول تعیین جریان اتصال کوتاه به شرح زیر هستند:

| مقدار k برای هادی مسی با روکش PVC و XLPE | ||
| هادی با سطح مقطع بالا 300 | هادی با سطح مقطع 300 | نوع عایق |
| 98.7 | 111 | PVC |
| 143 | 143 | XLPE |
| مقدار k برای هادی آلومینیومی با روکش PVC و XLPE | ||
| هادی با سطح مقطع بالا 300 | هادی با سطح مقطع 300 | نوع عایق |
| 65.3 | 73.6 | PVC |
| 94.5 | 94.5 | XLPE |
شرایط مکانیکی سیم و کابل، پارامتر مهم دیگری است که در خرید سیم و کابل مناسب نقش دارد. استاندارد مکانیکی سیم و کابل، رفتار آنها در برابر نیروهای بیرونی است. رایجترین مشخصات مکانیکی که در صنعت تولید سیم و کابل به آن توجه میشود عبارتند از:
متریالهای ساخت سیم و کابل هستند که استاندارهای مکانیکی آنها را مشخص میکنند. به همین دلیل با توجه به نوع مواد اولیه در هنگام تولید، هر سیم و کابل مشخصات خاص خود را دارند و هرکدام برای محیطهای خاصی طراحی میشوند. با تحقیق درباره مشخصات سیم و کابل است که میتوان بهترین گزینه را برای خرید انتخاب کرد.
روشهای نصب و راهاندازی کابلها تأثیر زیادی بر روی میزان جریان قابل تحمل دارد و میتواند منجر به افزایش دما در محیط شود. کابلهای مجاور هم و میزان کششی که بر کابل وارد میشود نیز از جمله معیارهای مهم در انتخاب کابل مناسب هستند. در واقع بهترین نوع کابل آن است که بتواند تحت تأثیر شرایط محیطی مانند میزان دما و کشش وارده بر کابل، قرار نگیرد.
برای اینکه بتوان سیم و کابل را مناسب با شرایط محیطی انتخاب کرد، جدولهایی تهیه شده که جریان قابل تحمل کابل را بر اساس جنس هادی، نوع عایق و تعداد هادی مشخص میکند. این جدولهای مرجع برای دماهایی با 30 درجه سانتیگراد نگارش شدهاند.
با توجه به عایق سیم و کابل، دما و شرایط آب و هوایی که میتوانند تحمل کنند به شرح زیر است:
| شرایط آب و هوا | درجه حرارت محیط | درجه حرارت در عمق یک متری | ||
| حداقل | حداکثر | حداقل | حداکثر | |
| گرمسیری | 25 | 55 | 25 | 40 |
| نیمه گرمسیری | 10 | 40 | 15 | 30 |
| معتدل | 0 | 25 | 10 | 20 |
| عایق | حداکثر درجه حرارت هادی |
| PVC | 70 |
| PE | 70 |
| XLPE | 90 |
| وضعیت آب و هوا | شرایط خاک | مقاومت حرارتی (KM/W) |
| پیوسته مرطوب | خیلی مرطوب | 0.7 |
| بارانی | مرطوب | 1 |
| به ندرت بارانی | خشک | 2 |
| بدون باران یا کم باران | خیلی خشک | 3 |
برای اینکه میزان جریان واقعی قابل تحمل توسط کابل به دست بیاید، علاوهبر فاکتور دمای محیط، فاکتور تاثیر کابلهای مجاور روی هم نیز موثر است. این عوامل با ضرایبی مشخص میشوند که با توجه به جدول زیر میتوانید آن را انتخاب کنید.
| ﺿﺮاﻳﺐ اﺻﻼح ﻣﺮﺑﻮط ﺑﻪ دﻣﺎﻫﺎی ﻣﺨﺘﻠﻒ ﺑﺮ اﺳﺎس ﺟﻨﺲ ﻋﺎﻳﻖ ﻛﺎﺑﻞ | ||||
| بدون عایق که در معرض 105 سانتی گراد قرار نگرفته است | با عایق PVC یا بدون عایق که در معرض ۷۰ درجه سانتی گراد قرار گرفته است | XLPE and EPR | PVC | درجه سانتی گراد |
| 1.14 | 1.26 | 1.15 | 1.22 | 10 |
| 1.11 | 1.20 | 1.12 | 1.17 | 15 |
| 1.07 | 1.14 | 1.08 | 1.12 | 20 |
| 1.04 | 1.07 | 1.04 | 1.06 | 30 |
| 0.96 | 0.93 | 0.96 | 0.94 | 40 |
| 0.92 | 0.85 | 0.91 | 0.87 | 45 |
| 0.88 | 0.77 | 0.87 | 0.79 | 50 |
| 0.80 | 0.67 | 0.82 | 0.71 | 55 |
| 0.75 | 0.57 | 0.76 | 0.61 | 60 |
| 0.70 | 0.45 | 0.71 | 0.50 | 65 |
| 0.65 | – | 0.65 | – | 70 |
| 0.60 | – | 0.58 | – | 75 |
| 0.54 | – | 0.50 | – | 80 |
| 0.47 | – | 0.41 | – | 85 |
| 0.40 | – | – | – | 90 |
| 0.32 | – | – | – | 95 |
سطح مقطع هادی یکی از عوامل مهم در انتخاب سیم و کابل مناسب محسوب میشود که به عوامل مختلفی از جمله موارد زیر بستگی دارد:
تعیین مناسب و دقیق سطح مقطع هادی در کابل با توجه به عوامل بالا نقش بسیار مهمی در کاهش هزینهها ایفا میکند. به منظور تعیین سطح مقطع هادی و نوع کابلها به یک سری دادهها نیاز داریم که به شرح زیر است:
از آنجایی که انتخاب سیم و کابل بر اساس پارامتر سطح مقطع بسیار اهمیت دارد، مطلبی جداگانه برای آن نوشتهایم. در این مطلب هرآنچه باید درباره سطح مقطع انواع سیم و کابل بدانید آوردهایم. همین حالا به سراغ مقاله “سطح مقطع کابل چیست و چگونه آن را محاسبه کنیم؟” بروید و برای خریدی مطمئن و با کیفیت بالا، جدول محاسبه سطح مقطع سیم و کابل را بررسی کنید.


